ATR_Gem
| parameter | value |
|---|---|
| [Phenology].Vegetative.Target.XYPairs.X | 0,16 |
| [Phenology].Vegetative.Target.XYPairs.Y | 470,250 |
| [Leaf].Photosynthesis.RUE.TriazineToleranceModifier.FixedValue | 0.78 |
| [Leaf].Phyllochron.Base.FixedValue | 61 |
This report is generated for performance of Canola model in APSIM NG for cultivar ATR_Gem.
The cultivar specific parameters used in the simulation are listed in the table below:
ATR_Gem
| parameter | value |
|---|---|
| [Phenology].Vegetative.Target.XYPairs.X | 0,16 |
| [Phenology].Vegetative.Target.XYPairs.Y | 470,250 |
| [Leaf].Photosynthesis.RUE.TriazineToleranceModifier.FixedValue | 0.78 |
| [Leaf].Phyllochron.Base.FixedValue | 61 |
There are 11 experiments which tested cultivar ATR_Gem and its aliases in the validation test dataset of APSIM NG..
The table below summarizes the performance of APSIM NG for cultivar ATR_Gem across all experiments.
ATR_Gem
| trait | n | r | r2 | bias | mse | rmse | nrmse | d |
|---|---|---|---|---|---|---|---|---|
| AboveGround.Wt | 27 | 0.91 | 0.83 | 22.26 | 4.340611e+04 | 208.34 | 0.38 | 0.94 |
| AboveGround.WtError | 27 | NA | NA | NA | NA | NA | NA | NA |
| Aboveground.Wt_machine | 4 | NA | NA | NA | NA | NA | NA | NA |
| Aboveground.Wt_machineError | 4 | NA | NA | NA | NA | NA | NA | NA |
| CoverTotal | 14 | 0.87 | 0.76 | 0.01 | 2.000000e-02 | 0.14 | 0.19 | 0.92 |
| CoverTotalError | 8 | NA | NA | NA | NA | NA | NA | NA |
| DaysAfterSowing | 35 | 1.00 | 1.00 | 0.00 | 0.000000e+00 | 0.00 | 0.00 | 1.00 |
| Density | 26 | NA | NA | NA | NA | NA | NA | NA |
| DensityError | 26 | NA | NA | NA | NA | NA | NA | NA |
| Grain.NConc | 4 | 0.95 | 0.90 | 0.00 | 0.000000e+00 | 0.01 | 0.13 | 0.88 |
| Grain.NConcError | 4 | NA | NA | NA | NA | NA | NA | NA |
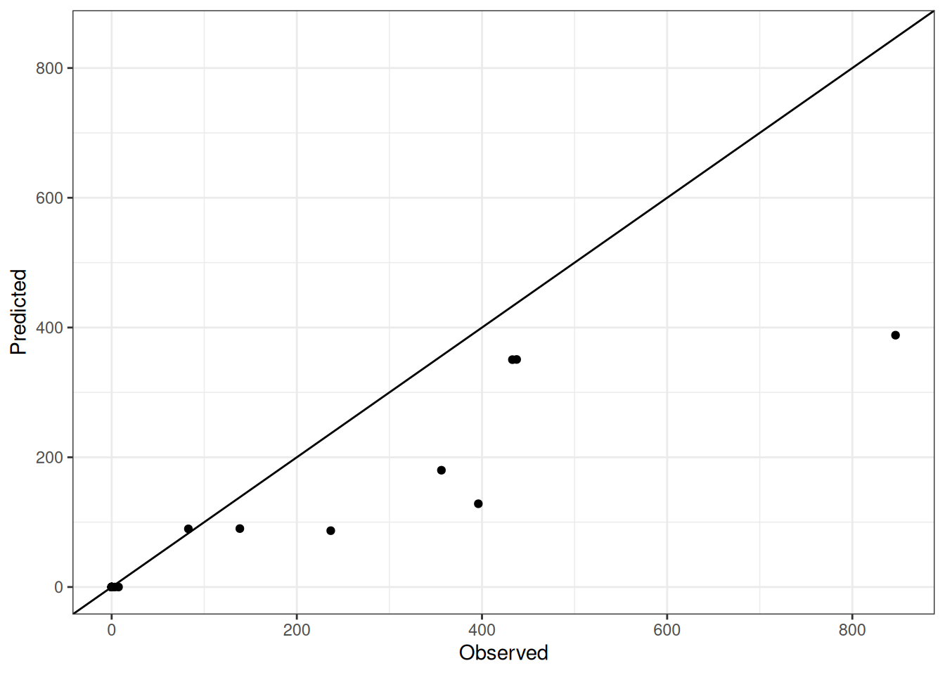
| Grain.Number | 8 | 0.78 | 0.60 | 25198.89 | 2.657667e+09 | 51552.57 | 0.50 | 0.70 |
| Grain.NumberError | 8 | NA | NA | NA | NA | NA | NA | NA |
| Grain.Oil | 4 | NA | NA | NA | NA | NA | NA | NA |
| Grain.OilError | 4 | NA | NA | NA | NA | NA | NA | NA |
| Grain.Protein | 4 | NA | NA | NA | NA | NA | NA | NA |
| Grain.ProteinError | 4 | NA | NA | NA | NA | NA | NA | NA |
| Grain.Size | 8 | NA | NA | NA | NA | NA | NA | NA |
| Grain.SizeError | 8 | NA | NA | NA | NA | NA | NA | NA |
| Grain.Wt | 8 | 0.79 | 0.63 | 35.29 | 1.420972e+04 | 119.20 | 0.36 | 0.82 |
| Grain.WtError | 8 | NA | NA | NA | NA | NA | NA | NA |
| Grain.WtMachine | 4 | NA | NA | NA | NA | NA | NA | NA |
| Grain.WtMachineError | 4 | NA | NA | NA | NA | NA | NA | NA |
| LAIError | 14 | NA | NA | NA | NA | NA | NA | NA |
| Leaf.Dead.Wt | 18 | 0.12 | 0.01 | -7.37 | 4.029200e+02 | 20.07 | 3.74 | 0.29 |
| Leaf.Dead.WtError | 11 | NA | NA | NA | NA | NA | NA | NA |
| Leaf.LAI | 14 | 0.70 | 0.49 | -0.67 | 1.510000e+00 | 1.23 | 0.89 | 0.74 |
| Leaf.Live.Wt | 18 | 0.79 | 0.62 | -12.84 | 1.606880e+03 | 40.09 | 0.78 | 0.84 |
| Leaf.Live.WtError | 14 | NA | NA | NA | NA | NA | NA | NA |
| Leaf.NodeNumber | 69 | NA | NA | NA | NA | NA | NA | NA |
| Leaf.SLA | 14 | NA | NA | NA | NA | NA | NA | NA |
| Leaf.TrueLeafNumber | 137 | 0.92 | 0.85 | 0.11 | 7.700000e-01 | 0.88 | 0.31 | 0.96 |
| Phenology.EmergenceDAS | 28 | 0.85 | 0.72 | 1.39 | 4.960000e+00 | 2.23 | 0.21 | 0.85 |
| Phenology.FloralInitiationDAS | 15 | 0.90 | 0.81 | 1.53 | 2.740000e+01 | 5.23 | 0.13 | 0.91 |
| Phenology.GreenBudDAS | 28 | 0.86 | 0.74 | -1.86 | 1.101400e+02 | 10.49 | 0.16 | 0.90 |
| Phenology.StartFloweringDAS | 37 | NA | NA | NA | NA | NA | NA | NA |
| Phenology.StartFloweringDASError | 4 | NA | NA | NA | NA | NA | NA | NA |
| Pod.Number | 8 | NA | NA | NA | NA | NA | NA | NA |
| Pod.NumberError | 8 | NA | NA | NA | NA | NA | NA | NA |
| Pod.Wt | 18 | 0.93 | 0.87 | 70.75 | 1.955919e+04 | 139.85 | 0.86 | 0.86 |
| Pod.WtError | 10 | NA | NA | NA | NA | NA | NA | NA |
| SAIError | 14 | NA | NA | NA | NA | NA | NA | NA |
| SLA | 14 | NA | NA | NA | NA | NA | NA | NA |
| SLAError | 14 | NA | NA | NA | NA | NA | NA | NA |
| Shell.Wt | 2 | 1.00 | 1.00 | 100.84 | 1.016990e+04 | 100.85 | 0.53 | 0.58 |
| Shell.WtError | 2 | NA | NA | NA | NA | NA | NA | NA |
| Stage | 16 | NA | NA | NA | NA | NA | NA | NA |
| Stem.Wt | 18 | 0.97 | 0.94 | -30.83 | 2.052990e+03 | 45.31 | 0.26 | 0.97 |
| Stem.WtError | 14 | NA | NA | NA | NA | NA | NA | NA |
















































